Home
IHRC Chartered
UNHR Chartered 1948
International Executive Committee
General Assembly
IHRC National, Regional & State Committee
Membership Form
Corresponding Address
Activities
Press Release
Contact
IHRC Legal Status
IHRC Facebook
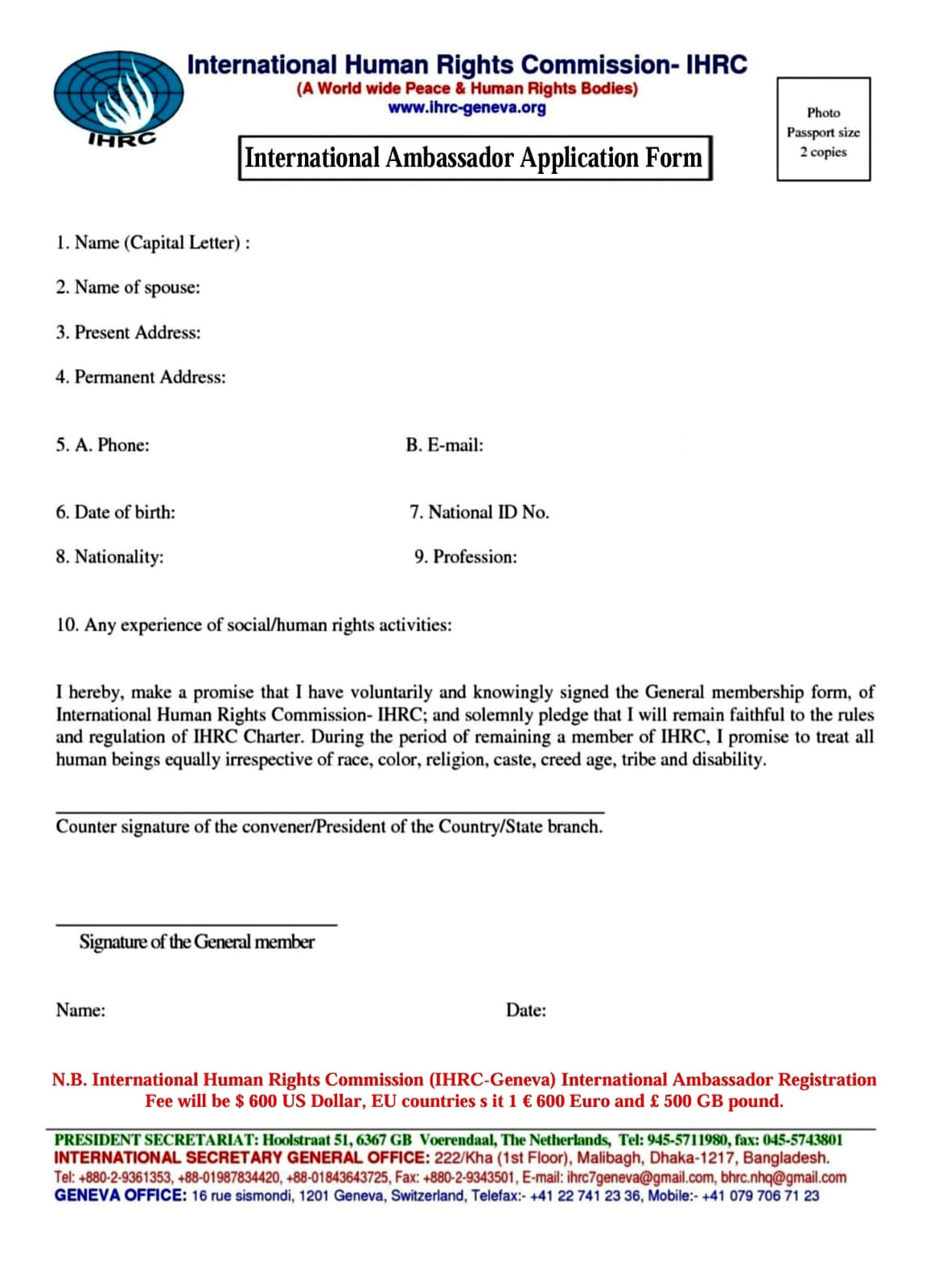
International Ambassador
IHRC SPECIAL REPRESENTATIVE
Membership
IHRC Established: 24 December 2003 In
Geneva
Organogram
Membership Form
Membership Form
To Top